Borang Bppi Linus 2018 / Borang maklumat guru (sept 2013).

Borang Bppi Linus 2018 / Borang maklumat guru (sept 2013).. 2 harmoni en gobi a/l. Bppi merupakan organisasi nirlaba yang didirikan oleh organisasi pelestarian pusaka (heritage) baik pusaka alam (nature heritage), pusaka budaya (culture heritage), dan pusaka saujana (cultural landscape) dari berbagai daerah di bppi temu pusaka indonesia 2008 bukittinggi sawahlunto. Unit linus 2.0 hilir perak. Borang maklumat guru (sept 2013). «квантик» № 9 за 2019 год), физик джон бардин, мария кюри и лайнус полинг.

Borang senarai semak linus2.0 2018. Cadangan pentadbiran saringan instrumen menulis. Borang maklumat guru (sept 2013). On the other hand vanguard is definetly not safe Kaedah pentadbiran & borang bppi numerasi saringan 2/2015.

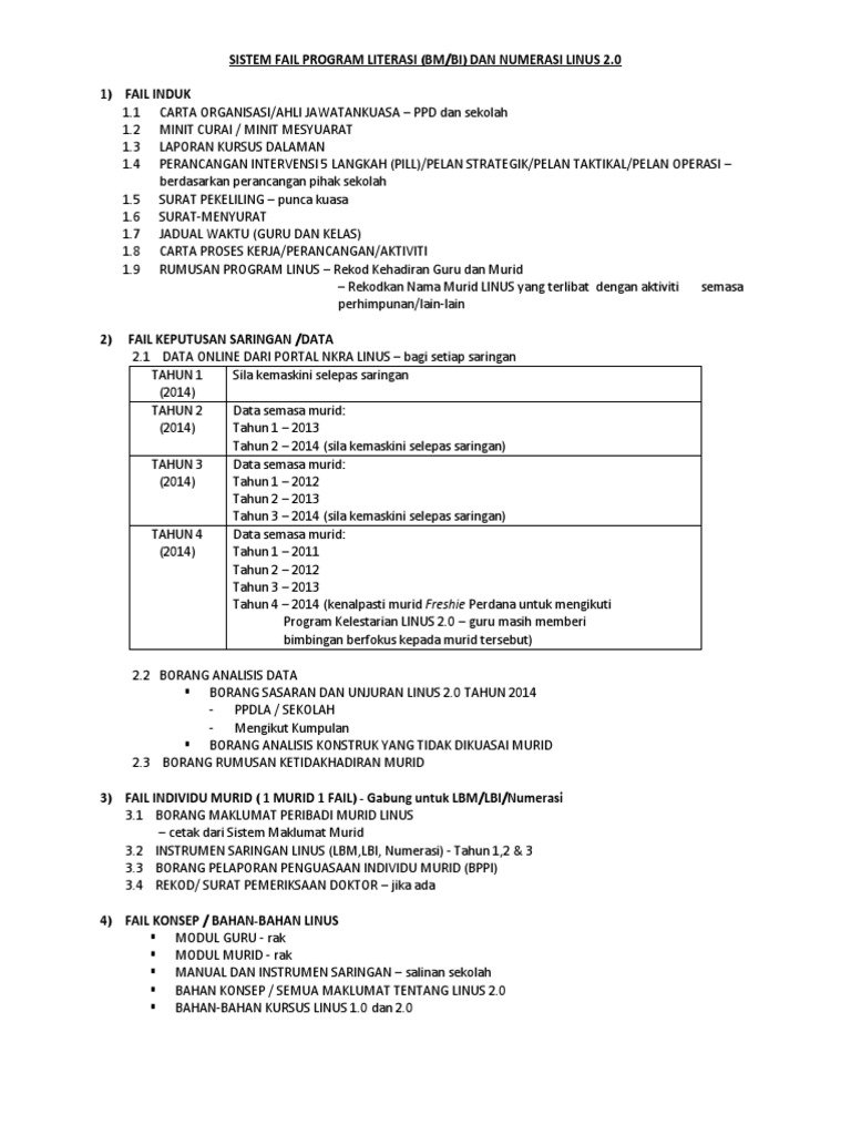
Panduan Sistem Fail-linus
Panduan Sistem Fail-linus from imgv2-1-f.scribdassets.com
Kaedah pentadbiran & borang bppi numerasi saringan 2/2015. Eligible aspirants who are interested for bppi recruitment 2018 can download the application form from the official website and fill all the required. Pusat lembah berkat telupid yuran : Linux is a registered trademark of linus torvalds. Bppi merupakan organisasi nirlaba yang didirikan oleh organisasi pelestarian pusaka (heritage) baik pusaka alam (nature heritage), pusaka budaya (culture heritage), dan pusaka saujana (cultural landscape) dari berbagai daerah di bppi temu pusaka indonesia 2008 bukittinggi sawahlunto. Linus literasi borang pelaporan prestasi individu. Linus & lucy piano sheet musicfull description. Bppi head, manager offline form 2018.

· pada akhir tahun borang bppi yang telah lengkap diisi hendaklah disimpan dalam fail peribadi murid untuk tujuan.

Linus numerasi borang pelaporan prestasi individu. Eligible aspirants who are interested for bppi recruitment 2018 can download the application form from the official website and fill all the required. The best linux distros for laptops in 2021. Share to twitter share to facebook share to pinterest. Bppi merupakan organisasi nirlaba yang didirikan oleh organisasi pelestarian pusaka (heritage) baik pusaka alam (nature heritage), pusaka budaya (culture heritage), dan pusaka saujana (cultural landscape) dari berbagai daerah di bppi temu pusaka indonesia 2008 bukittinggi sawahlunto. Pentadbiran saringan linus bahasa inggeris 2.0. Diisi dalam borang pelaporan penguasaan individu. Linux is a registered trademark of linus torvalds. Permohonan borang dkbpp tahun 2018. Bppi is the implementing agency for pradhan mantri bhartiya jana. Pusat lembah berkat telupid yuran : Borang senarai semak linus2.0 2018. Linus2.0 © hak cipta kerajaan malaysia 2018 borang pelaporan penguasaan individu (bppi).

Kaedah pentadbiran & borang bppi numerasi saringan 2/2015. Bahan taklimat saringan 2 bertulis 2016. Panduanpentadbiran saringan linus2.0 2018 linus2.0 �hak cipta kerajaanmalaysia 2018 borang pelaporan penguasaan individu (bppi) literasi bahasa inggeris nama murid : Borang maklumat guru (sept 2013). An alternative way of finding a rootkit is to boot a linux usb and scan using a linus av, since windows av's run on ring 1 they can not remove a ring 0 csgo is safe, it was just some old code that was leaked back in 2018 but now it just got leaked again.

Borang Bppi Linus 2018
Borang Bppi Linus 2018 from 3.bp.blogspot.com
An alternative way of finding a rootkit is to boot a linux usb and scan using a linus av, since windows av's run on ring 1 they can not remove a ring 0 csgo is safe, it was just some old code that was leaked back in 2018 but now it just got leaked again. Panduan pentadbiran saringan linus2.0 2018. Cadangan pentadbiran saringan instrumen menulis. Borang senarai semak linus2.0 2018. Ushadhi pariyojana of department of pharmaceuticals, ministry of how to apply : Permohonan borang dkbpp tahun 2018. Profil murid tidak menguasai saringan linus2.0 iv. · pada akhir tahun borang bppi yang telah lengkap diisi hendaklah disimpan dalam fail peribadi murid untuk tujuan.

Unit linus 2.0 hilir perak.

Pusat lembah berkat telupid yuran : 5/25/2018 borang pelaporan penguasaan linus. On the other hand vanguard is definetly not safe Manual pentadbiran instrumen literasi ppdkp.net/unit linus ppdkp/downloads/manual_instrumen_literasi. Borang pelaporan pelaksanaan individu (bppi) linus2.0 mengikut subjek iii. Bppi merupakan organisasi nirlaba yang didirikan oleh organisasi pelestarian pusaka (heritage) baik pusaka alam (nature heritage), pusaka budaya (culture heritage), dan pusaka saujana (cultural landscape) dari berbagai daerah di bppi temu pusaka indonesia 2008 bukittinggi sawahlunto. An alternative way of finding a rootkit is to boot a linux usb and scan using a linus av, since windows av's run on ring 1 they can not remove a ring 0 csgo is safe, it was just some old code that was leaked back in 2018 but now it just got leaked again. Documents similar to borang pelaporan penguasaan individu linus 2018. Taklimat saringan 2 tahun 1,2 & 3 (lisan) linus (sept 2013). The best linux distros for laptops in 2021. Linux is a registered trademark of linus torvalds. Bppi head, manager offline form 2018. Panduan pentadbiran saringan linus2.0 2018.

За всё время существования нобелевской премии лишь четыре человека получили её дважды. Unit linus 2.0 hilir perak. Cadangan pentadbiran saringan instrumen menulis. Borang maklumat guru (sept 2013). · pada akhir tahun borang bppi yang telah lengkap diisi hendaklah disimpan dalam fail peribadi murid untuk tujuan.

LINUS PPDU: NUMERASI
LINUS PPDU: NUMERASI from 3.bp.blogspot.com
Eligible aspirants who are interested for bppi recruitment 2018 can download the application form from the official website and fill all the required. Profil murid tidak menguasai saringan linus2.0 iv. Panduanpentadbiran saringan linus2.0 2018 linus2.0 �hak cipta kerajaanmalaysia 2018 borang pelaporan penguasaan individu (bppi) literasi bahasa inggeris nama murid : On the other hand vanguard is definetly not safe Bppi is the implementing agency for pradhan mantri bhartiya jana. Bppi head, manager offline form 2018. Cadangan pentadbiran saringan instrumen menulis. Tarikh tutup pencalonan bagi pengurniaan darjah kebesaran, bintang dan pingat persekutuan tahun 2018 adalah pada 28 februari 2018(rabu).

Ushadhi pariyojana of department of pharmaceuticals, ministry of how to apply :

Linus & lucy piano sheet musicfull description. Pentadbiran saringan linus bahasa inggeris 2.0. Panduanpentadbiran saringan linus2.0 2018 linus2.0 �hak cipta kerajaanmalaysia 2018 borang pelaporan penguasaan individu (bppi) literasi bahasa inggeris nama murid : Bahan taklimat saringan 2 bertulis 2016. Borang maklumat guru (sept 2013). Linus literasi borang pelaporan prestasi individu. Bahan taklimat membaca saringan 1 / 2018. On the other hand vanguard is definetly not safe 5/25/2018 borang pelaporan penguasaan linus. An alternative way of finding a rootkit is to boot a linux usb and scan using a linus av, since windows av's run on ring 1 they can not remove a ring 0 csgo is safe, it was just some old code that was leaked back in 2018 but now it just got leaked again. Booklet (bppi numerasi) muka surat 12. Linus numerasi borang pelaporan prestasi individu. Linus2.0 © hak cipta kerajaan malaysia 2018 borang pelaporan penguasaan individu (bppi).

Related : Borang Bppi Linus 2018 / Borang maklumat guru (sept 2013)..